## Dicewars A simplified version of game [DiceWars](http://www.gamedesign.jp/flash/dice/dice.html) between two players goes such that each player is assigned a stack of 6-sided dice which equate to …
Latex
The Dirac Equation
# Klein Gordan Equation We have seen in [this post](2019-05-27-the-klein-gordan-equation.md) that Klein-Gordan equation describes a spinless particle with mass $m$. The Klein-Gordan equation …
# Schrödinger's Equation Two of the greatest triumphs in Physics in the first three decades of 20<sup>th</sup> century are, i) Einstein's Theory of Relativity", both special and general, and ii) …
## Classical Electrodynamics In the early days of the encounter with Electricity and magnetism, these were studied seperately as independent phenomenon in nature. With more studies, it was evident …
This diagram shows the decay chain for ${}^{220}$Rn with the decay energy and time of the daughter nuclei. I used this diagram in my thesis.  ```tex …
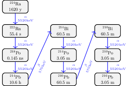
This diagram shows the decay chain for ${}^{222}$Rn with the decay energy and time of the daughter nuclei. I used this diagram in my thesis.  ```tex …
# Setup first lets setup up some imports ```python import numpy as np import sympy as smp import matplotlib.pyplot as plt plt.rcParams['figure.figsize'] = (16.0, 6.0) smp.init_printing() from …
 We are going to calculate the average kinetic energy of particles whose velocity follow Maxwell’s distribution. We know that the Maxwell’s velocity …
## Introduction This a a direct export from a jupyter notebook that I had for the study of discrete Fourier transfrom of Gaussian function. ```python import numpy as np import sympy as smp from …